 |
Problemi con gli esercizi di matematica finanziaria
Autore |
Messaggio |
lallo
Iscritto il: 26/11/2009, 19:24 Messaggi: 13
|
Salve !! frequento il Geometra e quest'anno ho problemi sulla matematica finanziaria soprattutto nelle annualità mi puo spiegare la differenza tra l'Accomulazione finale di annualita posticipate e anticipate limitate? lo stesso cn L'Accomulazione iniziale cioe quando capisco nel problema se si tratta di anticipare o posticipare? perche se faccio un 'accumulazione finale cm faccio ad anticipare se nn e richiesto nel problema?Grazieee
|
26/11/2009, 19:41 |
|
 |
|
 |
lallo
Iscritto il: 26/11/2009, 19:24 Messaggi: 13
|
Salve!!Marco ho problemi in questo problema nel calcolare il Bf CIoe il Beneficio Fondiario il problema e questo: un PESCHETO DI 20 ANNI FORNISCE I SEGUENTI PRODOTTI: Al 4 anno 8250 euro dal 5 al 7 anno 10300 annui dal 8 al 16 anno 16500 annui dal 17 al 20 anno 11800 annui le spese invece: A 0 6700 euro dal 1 al 3 anno 3000 mediamente anticipate dal 4 al 20 anno 5100 annui il Bf = alla sommatoria dei prodotti - la sommatoria delle spese saggio di interesse= 6%
|
26/11/2009, 19:54 |
|
 |
Marco
Sez. Supporto Didattico
Iscritto il: 13/03/2008, 19:23 Messaggi: 70259 Località: Pinzolo (TN) - Firenze
Formazione: Laurea in Scienze agrarie
|
lallo ha scritto: mi puo spiegare la differenza tra l'Accomulazione finale di annualita posticipate e anticipate limitate? lo stesso cn L'Accomulazione iniziale cioe quando capisco nel problema se si tratta di anticipare o posticipare? perche se faccio un 'accumulazione finale cm faccio ad anticipare se nn e richiesto nel problema?Grazieee Io preferisco non far imparare le formule delle annualità anticipate (comqunque basta moltoplicare per q) ma considerare solo la formula di accumulazione finale di annualità posticipate limitate. Con questa formula si accumulano n annualità (l'esponente è il numero di annualità) dove cade l'ultima. Poi puoi posticipare o anticipare moltiplicando per qn o per 1/qn. Per capire meglio leggi qui: http://www.rivistadiagraria.org/riviste ... brica=2007Ciao, Marco
_________________Segui Agraria.org anche su Facebook  e Twitter  ! Sei già iscritto all' Associazione di Agraria.org? 
|
26/11/2009, 20:19 |
|
 |
Marco
Sez. Supporto Didattico
Iscritto il: 13/03/2008, 19:23 Messaggi: 70259 Località: Pinzolo (TN) - Firenze
Formazione: Laurea in Scienze agrarie
|
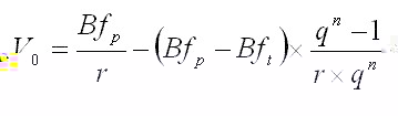
lallo ha scritto: Salve!!Marco ho problemi in questo problema nel calcolare il Bf CIoe il Beneficio Fondiario il problema e questo: un PESCHETO DI 20 ANNI FORNISCE I SEGUENTI PRODOTTI: Al 4 anno 8250 euro dal 5 al 7 anno 10300 annui dal 8 al 16 anno 16500 annui dal 17 al 20 anno 11800 annui le spese invece: A 0 6700 euro dal 1 al 3 anno 3000 mediamente anticipate dal 4 al 20 anno 5100 annui il Bf = alla sommatoria dei prodotti - la sommatoria delle spese saggio di interesse= 6% Disponi tutti i valori su un grafico. Utilizzando poi le formule di accumulazione finale di annualità e la posticipazione, riporta tutti i prodotti a fine ciclo e togli tutte le spese riportate a fine ciclo. La differenze Sommatoria Prodotti – Sommatoria Spese è il Reddito periodico del frutteto (Rp = a) Per trovare il Beneficio fondiario medio annuo (Rp = An) applica la formula di reintegrazione. Formula di reintegrazione
Allegati:
174__immagine_01.jpg [ 4.22 KiB | Osservato 9421 volte ]
_________________Segui Agraria.org anche su Facebook  e Twitter  ! Sei già iscritto all' Associazione di Agraria.org? 
|
26/11/2009, 20:27 |
|
 |
davide123
Iscritto il: 23/11/2009, 18:27 Messaggi: 6
|

salve prof. le chiedo aiuto per la risoluzione di questi 2 esercizi, che proprio non riesco a risolvere:
1) Un immobile a destinazione alberghiera è affittato per un canone annuo di euro 20.100 pagabili in 3 rate anticipate. le spese di parte padronale sono di euro 6.500 anticipate di 6 mesi. Alla scadenza dell'attuale contratto di locazione, stipulato 6 anni fa per una durata di 9 anni, la locazione potrà avvenire per un canone ordinario di euro 28.000 al lordo delle spese precedenti. Calcolare il valore dell'immobile per capitalizzazione dei redditi. (r= 3%; rc=2%)
2) Un immobile fornisce attualmente un canone mensile di euro 2.000. In seguito all'esecuzione di miglioramenti il canone sarà di euro 30.000 annui, da pagarsi in rate mensili. Le spese rimangono al 40% del canone. la trsformazione dura tre anni, durante i quali non si avranno redditi. Le spese di ristrutturazione sono le seguenti: -euro 50.000 anticipatamente; -euro 30.000 nel secondo anno; -euro 20.000 nel terzo anno. Vi è poi da pagare una rata annua di ammortamento di un mutuo euro 5.000 per 8 anni. Calcolare il valore dell'immobile. (r= 2,5%; r mutuo= 4,2% rc=3%)
|
27/11/2009, 17:26 |
|
 |
Marco
Sez. Supporto Didattico
Iscritto il: 13/03/2008, 19:23 Messaggi: 70259 Località: Pinzolo (TN) - Firenze
Formazione: Laurea in Scienze agrarie
|
davide123 ha scritto: 1) Un immobile a destinazione alberghiera è affittato per un canone annuo di euro 20.100 pagabili in 3 rate anticipate. le spese di parte padronale sono di euro 6.500 anticipate di 6 mesi. Alla scadenza dell'attuale contratto di locazione, stipulato 6 anni fa per una durata di 9 anni, la locazione potrà avvenire per un canone ordinario di euro 28.000 al lordo delle spese precedenti. Calcolare il valore dell'immobile per capitalizzazione dei redditi. (r= 3%; rc=2%)
Fasi della risoluzione 1) Calcolo del anone annuo posticipato mediante la formula delle rendite frazionarie (Cap1) 2) Calcolo delle spese annue posticipate (Spp1), posticipando di 6 mesi 3) Bft dei primi 3 anni = Cap1 - Spp1 4) Il testo non dice se il canone nuovo verrà pagato sempre in 3 rate anticipate: ipotizza tu e trova il Cap2 5) Bfp dal quarto anno in poi = Cap2 - Spp2 (uguali a Spp1) 6) Applica la formula dei redditi transitori e permanenti.
Allegati:
178__immagine_03.jpg [ 6.93 KiB | Osservato 9406 volte ]
_________________Segui Agraria.org anche su Facebook  e Twitter  ! Sei già iscritto all' Associazione di Agraria.org? 
|
27/11/2009, 17:43 |
|
 |
Marco
Sez. Supporto Didattico
Iscritto il: 13/03/2008, 19:23 Messaggi: 70259 Località: Pinzolo (TN) - Firenze
Formazione: Laurea in Scienze agrarie
|

davide123 ha scritto: 2) Un immobile fornisce attualmente un canone mensile di euro 2.000. In seguito all'esecuzione di miglioramenti il canone sarà di euro 30.000 annui, da pagarsi in rate mensili. Le spese rimangono al 40% del canone. la trsformazione dura tre anni, durante i quali non si avranno redditi. Le spese di ristrutturazione sono le seguenti: -euro 50.000 anticipatamente; -euro 30.000 nel secondo anno; -euro 20.000 nel terzo anno. Vi è poi da pagare una rata annua di ammortamento di un mutuo euro 5.000 per 8 anni. Calcolare il valore dell'immobile. (r= 2,5%; r mutuo= 4,2% rc=3%)
Lo svolgimento è lo stesso. Al Vo dovrai togliee le spese di ristrutturazione riportate all'istante 0 e togliere il debito residuo del mutuo. Per quanto eriguarda quest'ultimo, il testo è poco chiaro. Immagino intenda: L'immobile è gravato da mutuo ipotecario di cui restano da pagare 8 rate annue di 8.000 Euro. Per calcolare il Dr devi applicare la formula di accumulazione iniziale di annualità (8) costanti posticipate. Ciao, Marco
_________________Segui Agraria.org anche su Facebook  e Twitter  ! Sei già iscritto all' Associazione di Agraria.org? 
|
27/11/2009, 17:47 |
|
 |
davide123
Iscritto il: 23/11/2009, 18:27 Messaggi: 6
|
GRAZIE MILLE 
|
27/11/2009, 17:56 |
|
 |
davide123
Iscritto il: 23/11/2009, 18:27 Messaggi: 6
|
Mi puo dire come calcolare il canone annuo posticipato mediante la formula delle rendite frazionarie e il calcolo delle spese annue posticipate, posticipando di 6 mesi dell'esercizio precedente? grazie mille!!!!
|
27/11/2009, 18:42 |
|
 |
lallo
Iscritto il: 26/11/2009, 19:24 Messaggi: 13
|
Salve Marco cm ogni giorno nn riesco a risolvere i seguenti problemi perche ho difficoltà se almeno mi puo spiegare i passaggi che devo affrontare grazie IL 1 esrcizio Tizio acquista oggi un camion per un importo di 178000 euro .Paga subito 40000 euro ;concorda di pagare poi: 30 000 alla consegna tra 8 mesi 20 000 tra un anno La rimanenza viene pagata in rate semestrali anticipate per 5 anni a partire dal 2 anno :calcolare L'importo della rata semestrale r= 3.5%
|
27/11/2009, 20:01 |
|
|
Chi c’è in linea |
Visitano il forum: Nessuno e 2 ospiti |
|
Non puoi aprire nuovi argomenti Non puoi rispondere negli argomenti Non puoi modificare i tuoi messaggi Non puoi cancellare i tuoi messaggi Non puoi inviare allegati
|
|
 |